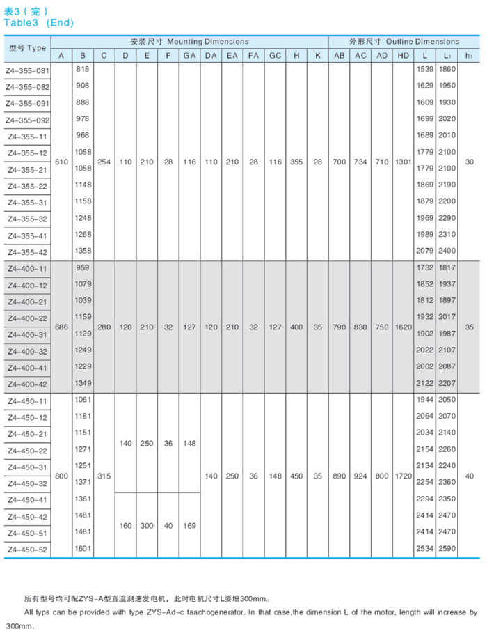
Z4-100-Z4-450型直流电动机
发布时间:2019-03-11浏览次数:17































上一篇:Z355-Z900型直流电动机
Copyright © 江苏大中电机股份有限公司 版权所有